LLM的「母语」是什么?
来源:51CTO.COM
时间:2024-06-03 08:18:45 325浏览 收藏
偷偷努力,悄无声息地变强,然后惊艳所有人!哈哈,小伙伴们又来学习啦~今天我将给大家介绍《LLM的「母语」是什么?》,这篇文章主要会讲到等等知识点,不知道大家对其都有多少了解,下面我们就一起来看一吧!当然,非常希望大家能多多评论,给出合理的建议,我们一起学习,一起进步!
大语言模型的「母语」是什么?
我们的第一反应很可能是:英语。
但事实果真如此吗?尤其是对于能够听说读写多种语言的LLM来说。
对此,来自EPFL(洛桑联邦理工学院)的研究人员发表了下面这篇工作来一探究竟:
图片
论文地址:https://arxiv.org/pdf/2402.10588
项目地址:https://github.com/epfl-dlab/llm-latent-language
作者以Llama2为对象,向我们展示了具有多语言能力的Transformer,是如何思考问题的。
像「羊驼」这种在英语区下长大的娃,他的「多语言」到底是本质属性,还是仅仅套了个翻译的壳?
这对于人们理解LLM的运行机制至关重要。
图片
要探究大模型的内心世界,虽然听起来有点复杂,但实际上一点也不简单。
研究人员在这里化繁为简,使用特定的提示来保证输出的唯一性,同时把Llama-2-7B的32层输出全部提取出来——一层一层一层的剥开她的心。
图片
于是,我们能在上图清楚地看到,羊驼在得到中文翻译(「花」)时的整个推理过程。
Transformer将输入token进行逐层映射,最终预测出下一个token,中间那些我们大概能理解或者不能理解的字符串,就是LLM使用的「内部语言」。
显然,在中间层的「思考」环节,羊驼用的是偏向于英语的某种神秘文字。
这里需要强调一下,这是羊驼的自发行为,因为提示中压根就没有一点英语!
图片
比如上图是其中的一个实验,构建了法语翻译中文的提示,且限制了正确答案只需1个token(花)。
而下图的统计显示:在Llama2的大部分前向传递中,正确中文token(蓝色)的概率远低于英文翻译(橙色)的概率。中文只在最后两层中占据主导地位。
图片
为了方便大家观察,作者还将嵌入在高维空间中的路径的可视化(实际是8192个维度,这里使用2D展示)。
从输入到输出,轨迹以红色开始,以紫色结束。我们可以看到,这些路径基本都是先绕道英语,然后才返回正确的中文。
图片
不过,这是否确实表明Llama2先用英文进行推理,然后将再其翻译成中文?
作者表示,比这更微妙一点。那些看起来像英语的中间嵌入实际上对应于抽象概念,而不是具体的英文token。
所以,一方面,Llama2内部的「通用语」不是英语,而是概念;
但另一方面,这些神秘字符又显然是偏向于英语的概念。
因此,在语义上,而非纯粹的词汇意义上,英语确实可以被视为羊驼的「母语」。
网友:我早就发现了
有网友表示:恕我直言,不仅仅是羊驼系列,基本上所有LLM都是这样。
图片
「对于以英语为母语的人来说,这可能会令人惊讶,但对于其他人来说,这种倾向性是可见的,只不过有时多,有时少。」
「有时我会想LLM为什么要这样回答,然后我意识到这个答案在英语中更有意义。」
「这在诗歌中更是显而易见的。LLM写诗很漂亮,但通常没有押韵.——如果你把它翻译成英语,就押韵了。」
另一位网友表示,这是大模型带来的偏见,要小心了。
图片
「英语和中文最终将成为LLM提示和输出的最佳语言,而随着LLM的应用范围越来越广泛,世界其他语言将更加边缘化。」
模型表达空间的探索
当嵌入逐层转换时,它们会经历3个阶段:
1. 输入空间:模型消除分词器带来的影响。
2. 概念空间:嵌入进入一个抽象的概念空间中。
3. 输出空间:概念被映射回原本的表达形式。
图片
模型
实验专注于Llama-2系列语言模型。Llama-2系列模型在多语言语料库上进行训练,语料库主要由英语主导(占89.70%)。
不过考虑到总体训练数据的大小(2万亿个token),即使是一小部分非英语训练数据,绝对值仍然很大(德语占0.17%=3.4B,中文占0.13%=2.6B)。
Llama-2有7B/13B/70B三种尺寸,分别为32/40/80层,嵌入维度d=4096/5120/8192,词汇表V包含32,000个token。实验中使用8位量化探究这三种不同大小的模型。
实验
实验的目标是探索Llama-2的内部状态,是否与特定的自然语言相对应,这需要从token分布映射到语言。
为了规避许多token在语言方面上模棱两可的问题,研究人员构造了特殊的提示,限制token输出的唯一性,并且可以明确地归因于某一种语言。
翻译任务
将前面的非英语(例如法语)单词翻译成中文,示例如下,向模型展示四个单词,并带有正确的翻译,后跟第五个没有翻译的单词,让模型预测下一个token:
图片
重复任务
要求模型简单地重复最后一个单词,提示如下:
图片
完形填空任务
作为一项稍微困难的任务,模型需要预测句子中缺失的单词。给定一个目标单词,通过GPT-4构建一个以该单词开头的英语句子,屏蔽目标单词,并将该句子翻译成其他语言。英语示例如下:
图片
单词选择
为了实现明确的语言归属,研究人员为每种语言构建了一组封闭的单词。扫描Llama-2的词汇表,寻找具有单token英文翻译的单token中文单词(主要是名词)。
这样一来,Llama-2预测下一个中文单词的正确概率就可以直接从下一个token概率中读出。
保险起见,作者还在德语、法语和俄语上进行了相同的实验,总共测试了139个中文、104个德语、56个法语和115个俄语单词。三个任务的测试结果如下:
图片
上图表示Llama-2前向传递期间,每一层输出是英语还是中文的概率,三个任务分别为:(a)从德语/法语/俄语到中文的翻译任务,(b)中文重复任务,(c)中文完形填空任务。
误差线显示输入文本的95%高斯置信区间(翻译任务为353,重复任务和完形填空为139)。
8192D太空漫游
自回归Transformer是以增量方式求解的,每一层通过添加残差来修改前一层产生的潜在向量,这一过程在几何上可以描述为通过d维欧几里得空间的路径。
图片
为了建立直觉,首先考虑一个假设的极端情况,即token位于整个d维空间的适当子空间中。
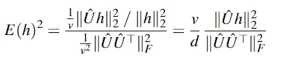
如果latent embedding(h)具有与token子空间正交的分量,则表示预测中包含与h无关的信息。
研究人员采用h和token嵌入之间的均方余弦,来表示h的能量有多少转化为logit分数。为了可解释性,这里通过token嵌入本身的均方余弦进行归一化,得到h的平方token能量:
图片
在上面的球形示意图中,所有嵌入都位于原点周围的球体上。token嵌入位于赤道上,主要沿x轴分布,x轴捕获语言(左英文,右中文),y轴捕捉概念,z轴提供了额外的自由度,可用于存储有关上下文、语言等的信息。Transformer正向传递沿球体表面移动。
在第1阶段,latent embedding从北极开始,与输出token和概念嵌入正交。
阶段2旋转到概念空间中,英语token占据主导。
最后,第3阶段沿赤道旋转到目标语言的半球,产生输出token。
参考资料:
今天关于《LLM的「母语」是什么?》的内容介绍就到此结束,如果有什么疑问或者建议,可以在golang学习网公众号下多多回复交流;文中若有不正之处,也希望回复留言以告知!
-
501 收藏
-
501 收藏
-
501 收藏
-
501 收藏
-
501 收藏
-
421 收藏
-
137 收藏
-
340 收藏
-
115 收藏
-
469 收藏
-
210 收藏
-
489 收藏
-
138 收藏
-
371 收藏
-
138 收藏
-
221 收藏
-
218 收藏
-
- 前端进阶之JavaScript设计模式
- 设计模式是开发人员在软件开发过程中面临一般问题时的解决方案,代表了最佳的实践。本课程的主打内容包括JS常见设计模式以及具体应用场景,打造一站式知识长龙服务,适合有JS基础的同学学习。
- 立即学习 543次学习
-
- GO语言核心编程课程
- 本课程采用真实案例,全面具体可落地,从理论到实践,一步一步将GO核心编程技术、编程思想、底层实现融会贯通,使学习者贴近时代脉搏,做IT互联网时代的弄潮儿。
- 立即学习 516次学习
-
- 简单聊聊mysql8与网络通信
- 如有问题加微信:Le-studyg;在课程中,我们将首先介绍MySQL8的新特性,包括性能优化、安全增强、新数据类型等,帮助学生快速熟悉MySQL8的最新功能。接着,我们将深入解析MySQL的网络通信机制,包括协议、连接管理、数据传输等,让
- 立即学习 500次学习
-
- JavaScript正则表达式基础与实战
- 在任何一门编程语言中,正则表达式,都是一项重要的知识,它提供了高效的字符串匹配与捕获机制,可以极大的简化程序设计。
- 立即学习 487次学习
-
- 从零制作响应式网站—Grid布局
- 本系列教程将展示从零制作一个假想的网络科技公司官网,分为导航,轮播,关于我们,成功案例,服务流程,团队介绍,数据部分,公司动态,底部信息等内容区块。网站整体采用CSSGrid布局,支持响应式,有流畅过渡和展现动画。
- 立即学习 485次学习