LoG算子原理详解与构造方法
时间:2025-11-26 23:30:36 145浏览 收藏
今天golang学习网给大家带来了《LoG算子原理详解与构造方法》,其中涉及到的知识点包括等等,无论你是小白还是老手,都适合看一看哦~有好的建议也欢迎大家在评论留言,若是看完有所收获,也希望大家能多多点赞支持呀!一起加油学习~

1、LoG算子的构造基于某一特定数学函数的理论推导。
2、该核心函数由标准高斯函数经过拉普拉斯运算演变而来。

3、与高斯模板的生成方式相似,可通过此复合函数构建出LoG滤波器模板。
4、将该数学表达式封装为计算模块,其中参数d表示高斯函数的方差,n用于设定模板的大小。

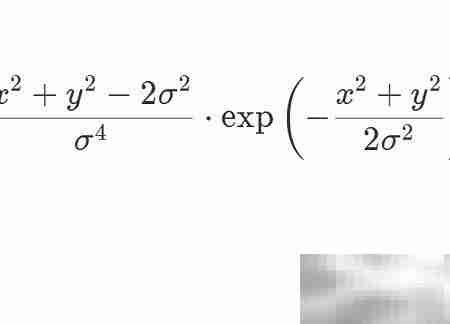
5、当设定方差为1时,所得到的3×3尺寸LoG算子模板如图所示。


6、模板中所有数值元素的总和为零,确保处理后图像整体亮度保持不变。

理论要掌握,实操不能落!以上关于《LoG算子原理详解与构造方法》的详细介绍,大家都掌握了吧!如果想要继续提升自己的能力,那么就来关注golang学习网公众号吧!
相关阅读
更多>
-
501 收藏
-
501 收藏
-
501 收藏
-
501 收藏
-
501 收藏
最新阅读
更多>
-
478 收藏
-
456 收藏
-
496 收藏
-
327 收藏
-
403 收藏
-
238 收藏
-
179 收藏
-
405 收藏
-
447 收藏
-
354 收藏
-
160 收藏
-
306 收藏
课程推荐
更多>
-
- 前端进阶之JavaScript设计模式
- 设计模式是开发人员在软件开发过程中面临一般问题时的解决方案,代表了最佳的实践。本课程的主打内容包括JS常见设计模式以及具体应用场景,打造一站式知识长龙服务,适合有JS基础的同学学习。
- 立即学习 543次学习
-
- GO语言核心编程课程
- 本课程采用真实案例,全面具体可落地,从理论到实践,一步一步将GO核心编程技术、编程思想、底层实现融会贯通,使学习者贴近时代脉搏,做IT互联网时代的弄潮儿。
- 立即学习 516次学习
-
- 简单聊聊mysql8与网络通信
- 如有问题加微信:Le-studyg;在课程中,我们将首先介绍MySQL8的新特性,包括性能优化、安全增强、新数据类型等,帮助学生快速熟悉MySQL8的最新功能。接着,我们将深入解析MySQL的网络通信机制,包括协议、连接管理、数据传输等,让
- 立即学习 500次学习
-
- JavaScript正则表达式基础与实战
- 在任何一门编程语言中,正则表达式,都是一项重要的知识,它提供了高效的字符串匹配与捕获机制,可以极大的简化程序设计。
- 立即学习 487次学习
-
- 从零制作响应式网站—Grid布局
- 本系列教程将展示从零制作一个假想的网络科技公司官网,分为导航,轮播,关于我们,成功案例,服务流程,团队介绍,数据部分,公司动态,底部信息等内容区块。网站整体采用CSSGrid布局,支持响应式,有流畅过渡和展现动画。
- 立即学习 485次学习