统计题解法技巧与思路解析
时间:2026-02-15 21:27:49 393浏览 收藏
本文深入解析概率统计中的三类核心概念题,从并集概率公式的直接应用,到补集逻辑的严谨推导,再到双重否定的简洁处理,层层递进地揭示解题背后的思维路径与关键技巧,帮助读者夯实基础、突破理解盲区,轻松应对统计考试中的高频考点。
今天共同探讨概率统计中的经典例题解析。
1、 首先呈现题目内容

2、 第一问重点检验对基础公式的熟悉程度

3、 直接套用并集概率公式:p(a∪b) = p(a) + p(b) − p(ab),即可顺利解出。

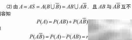
4、 第二问聚焦于“非”(补集)运算的逻辑理解与应用

5、 由条件 A = AS 出发,推导得出所需关系式

6、 第三问考察双重否定(两个“非”)的含义与处理方法。
7、 实际操作中,一般仅需执行一次规范步骤即可完成。

以上就是本文的全部内容了,是否有顺利帮助你解决问题?若是能给你带来学习上的帮助,请大家多多支持golang学习网!更多关于文章的相关知识,也可关注golang学习网公众号。
相关阅读
更多>
-
501 收藏
-
501 收藏
-
501 收藏
-
501 收藏
-
501 收藏
最新阅读
更多>
-
425 收藏
-
302 收藏
-
336 收藏
-
128 收藏
-
277 收藏
-
293 收藏
-
321 收藏
-
339 收藏
-
343 收藏
-
455 收藏
-
180 收藏
-
204 收藏
课程推荐
更多>
-
- 前端进阶之JavaScript设计模式
- 设计模式是开发人员在软件开发过程中面临一般问题时的解决方案,代表了最佳的实践。本课程的主打内容包括JS常见设计模式以及具体应用场景,打造一站式知识长龙服务,适合有JS基础的同学学习。
- 立即学习 543次学习
-
- GO语言核心编程课程
- 本课程采用真实案例,全面具体可落地,从理论到实践,一步一步将GO核心编程技术、编程思想、底层实现融会贯通,使学习者贴近时代脉搏,做IT互联网时代的弄潮儿。
- 立即学习 516次学习
-
- 简单聊聊mysql8与网络通信
- 如有问题加微信:Le-studyg;在课程中,我们将首先介绍MySQL8的新特性,包括性能优化、安全增强、新数据类型等,帮助学生快速熟悉MySQL8的最新功能。接着,我们将深入解析MySQL的网络通信机制,包括协议、连接管理、数据传输等,让
- 立即学习 500次学习
-
- JavaScript正则表达式基础与实战
- 在任何一门编程语言中,正则表达式,都是一项重要的知识,它提供了高效的字符串匹配与捕获机制,可以极大的简化程序设计。
- 立即学习 487次学习
-
- 从零制作响应式网站—Grid布局
- 本系列教程将展示从零制作一个假想的网络科技公司官网,分为导航,轮播,关于我们,成功案例,服务流程,团队介绍,数据部分,公司动态,底部信息等内容区块。网站整体采用CSSGrid布局,支持响应式,有流畅过渡和展现动画。
- 立即学习 485次学习